Datenanalyse mit R

7 - Visualisierung in R

Saskia A. Otto
BSH 11/02 - 13/02 2019

Zur Erinnerung ...

Visualisierung ist eines der Kernpunkte in data science

2 verbreitete Typen

  • Basisgrafiken – Funktionen sind bereits Bestandteil der Basis version – Gut geeignet für eine einfache und schnelle Datenexploration
    • Nicht sehr intuitiv und weniger geeignet für komplexe Grafiken
    • Keine gute Hilfe bzw. Dokumentation
  • ggplot2 – Besser geeignet bei komplexeren Grafiken
    – Klarere Syntax
    • Besser dokumentiert
    • Viele Beispiele im Internet

Basisgrafiken in R

Es gibt 2 verschiedene Arten von Grafikfunktionen:

High-level: erstellt vollständige Grafiken (mit Achsen, Beschriftungen, etc.)

plot(x = iris$Sepal.Length, 
  y = iris$Sepal.Width)

plot of chunk unnamed-chunk-2

Low-level: fügt Elemente in den aktuellen Plot

plot(x = iris$Sepal.Length, 
  y = iris$Sepal.Width)
abline(h = 3, col = 2, lty = 2, lwd = 5) 

plot of chunk unnamed-chunk-3

High-level Grafiken

Funktion Beschreibung
plot() Generische Funktion mit vielen Methoden (kontextabhangig)
barplot() Stabdiagram
boxplot() Boxplot
contour() Plot mit Hohenlinien
coplot() Conditioning Plots
curve() Kurven uber einem Intervall fur eine Funktion
hist() Histogramm
image() Erstellt kontextabhäangige Bilder (auch in 3D)
mosaicplot() Mosaikplot fur kategorielle Daten
pairs() Streudiagramm-Matrix fur paarweise Gegeüuberstellungen
pie() Tortendiagramm
qqplot() QQ-Plot

High-level Grafiken

High-level Grafik (Forts.)

  • Können über ihre Argumente modiziert und angepasst werden.
  • In den Hilfen ?plot und ?plot.default werden viele Argumente von Grafikfunktionen genannt und erklärt.
  • Es gibt jedoch auch globale Einstellungen füur Grafiken, die alle nachfolgenden Grafiken verändern können: par().
  • Die Hilfe von ?par listet wesentlich mehr Argumente, die auch in den high-level Funktionen genutzt werden können.

Wichtige grafische Parameter

Argument Beschreibung
adj Ausrichtung von Text (zentriert,...)
axes Achsen sollen (nicht) eingezeichnet werden
bg Hintergrundfarbe der Grafik
bty Art der Box um die gezeichnete Grafik
cex Größe der Schriftzeichen in der Grafik
col Farben (der Linien, der Punkte, etc.)
las Ausrichtung der Achsenbeschriftung
lty,lwd Linientype (gestrichelt,...) und Linienbreite
main,sub Überschrift und Unterschrift)
mfrow mehrere Grafiken in einem Bild
pch Darstellung eines Punktes
type Typ der Darstellung (Linien, Punkte, Nichts)
xlab,ylab x-/y-Achsenbeschriftung
xlim,ylim Größe der Grafik in x-/y-Richtung

Wichtige grafische Parameter (Forts.)

Wichtige Low-Level Grafikfunktionen

Funktion Beschreibung
abline() Zeichnet eine kontextabhängige Linie
arrows() Zeichnet Pfeile
axis() Zeichnet Achsen (jede Achse einzeln!)
grid() Zeichnet ein Gitternetz
legend() Erstellt eine Legende im Plot
lines() Zeichnet schrittweise Linien
mtext() Schreibt Text in den Rand (s.unten)
points() Zeichnet Punkte
polygon() Zeichnet ausgefüllte Polygone
rect() Zeichnet (vektorwertig) ein Rechteck
segments() Zeichnet (vektorwertig) Linien
text() Schreibt Text in den Plot
title() Beschriftet den Plot

Ausgabeformate

Ausgabeformate

plot(1:10)

→ Die Ausgabe erscheint per default auf dem Bildschirm

pdf('Grafik1.pdf') # Device wird gestartet
plot(1:10) # Grafik wird erstellt
points(0.5:9.5, col=1:10, pch=1:10) # Erweiterungen
#... weitere Erweiterungen an der Grafik
dev.off() # Device muss geschlossen werden

Das Schließen mit dev.off() ist besonders wichtig, sonst werden alle folgenden Grafiken mit in dem PDF angespeichert und nicht in der Konsole anzezeigt!

Aufgabe

Quiz 1: Grafik erstellen und abspeichern

Versuche folgenden Plot mit dem iris Datensatz zu reproduzieren und diesen als PDF abzuspeichern:

plot of chunk unnamed-chunk-10

Visualization with ggplot2

A system for creating graphics

Creating plots in a stepwise process

  • Start with ggplot(data, mapping = aes()) where you supply a dataset and (default) aesthetic mapping
  • Add a layer by calling a geom_function
  • Then add on (not required as defaults supplied)
    • scales like xlim()
    • faceting like facet_wrap()
    • coordinate systems like coord_flip()
    • themes like theme_bw()
  • Save a plot to disk with ggsave()

source of image (topright): older version of Data Visualization with ggplot cheat sheet (licensed under CC-BY-SA)

Creating plots in a stepwise process

  • Start with ggplot(data, mapping = aes()) where you supply a dataset and (default) aesthetic mapping
  • Add a layer by calling a geom_function
  • Then add on (not required as defaults supplied)
    • scales like xlim()
    • faceting like facet_wrap()
    • coordinate systems like coord_flip()
    • themes like theme_bw()
  • Save a plot to disk with ggsave()

aesthetic mapping:

to display values, variables in the data need to be mapped to visual properties of the geom (aesthetics) like size, color, and x and y locations. aes() mappings within ggplot() represent default settings for all layers (typically x and y), otherwise map variables within geom-functions.

Creating plots in a stepwise process

  • Start with ggplot(data, mapping = aes()) where you supply a dataset and (default) aesthetic mapping
  • Add a layer by calling a geom_function
  • Then add on (not required as defaults supplied)
    • scales like xlim()
    • faceting like facet_wrap()
    • coordinate systems like coord_flip()
    • themes like theme_bw()
  • Save a plot to disk with ggsave()

geom_function:

combines a geometric object representing the observations with aesthetic mapping, a stat, and a position adjustment, e.g., geom_point() or geom_histogram()

Creating plots in a stepwise process

  • Start with ggplot(data, mapping = aes()) where you supply a dataset and (default) aesthetic mapping
  • Add a layer by calling a geom_function
  • Then add on (not required as defaults supplied)
    • scales like xlim()
    • faceting like facet_wrap()
    • coordinate systems like coord_flip()
    • themes like theme_bw()
  • Save a plot to disk with ggsave()

scales:

control the details of how data values are translated to visual properties (override the default scales)

Creating plots in a stepwise process

  • Start with ggplot(data, mapping = aes()) where you supply a dataset and (default) aesthetic mapping
  • Add a layer by calling a geom_function
  • Then add on (not required as defaults supplied)
    • scales like xlim()
    • faceting like facet_wrap()
    • coordinate systems like coord_flip()
    • themes like theme_bw()
  • Save a plot to disk with ggsave()

facetting:

smaller plots that display different subsets of the data; also useful for exploring conditional relationships.

Creating plots in a stepwise process

  • Start with ggplot(data, mapping = aes()) where you supply a dataset and (default) aesthetic mapping
  • Add a layer by calling a geom_function
  • Then add on (not required as defaults supplied)
    • scales like xlim()
    • faceting like facet_wrap()
    • coordinate systems like coord_flip()
    • themes like theme_bw()
  • Save a plot to disk with ggsave()

coordinate system:

determines how the x and y aesthetics combine to position elements in the plot

Creating plots in a stepwise process

  • Start with ggplot(data, mapping = aes()) where you supply a dataset and (default) aesthetic mapping
  • Add a layer by calling a geom_function
  • Then add on (not required as defaults supplied)
    • scales like xlim()
    • faceting like facet_wrap()
    • coordinate systems like coord_flip()
    • themes like theme_bw()
  • Save a plot to disk with ggsave()

themes:

control the display of all non-data elements of the plot. You can override all settings with a complete theme like theme_bw(), or choose to tweak individual settings

Creating plots in a stepwise process

  • Start with ggplot(data, mapping = aes()) where you supply a dataset and (default) aesthetic mapping
  • Add a layer by calling a geom_function
  • Then add on (not required as defaults supplied)
    • scales like xlim()
    • faceting like facet_wrap()
    • coordinate systems like coord_flip()
    • themes like theme_bw()
  • Save a plot to disk with ggsave()

ggsave("plot.png", width = 5, height = 5):

Saves last plot as 5’ x 5’ file named "plot.png" in working directory. Matches file type to file extension.

A demonstration with the internal iris data

Step 1 - start a plot with ggplot()

Step 2 - add layers: geom_point()

Step 2 - add layers: geom_point()

ggplot(iris, aes(x = Sepal.Length, 
    y = Petal.Length)) +
  geom_point(aes(col = Species))

aes(col = Species)

Show points in species-specific colours.

plot of chunk unnamed-chunk-17

Step 2 - add layers: geom_smooth()

ggplot(iris, aes(x = Sepal.Length, 
    y = Petal.Length)) +
  geom_point(aes(col = Species)) +
  geom_smooth()

plot of chunk unnamed-chunk-19

Step 2 - add layers: geom_smooth()

ggplot(iris, aes(x = Sepal.Length, 
    y = Petal.Length)) +
  geom_point(aes(col = Species)) +
  geom_smooth(aes(col = Species), 
    method = "lm")

aes(col = Species), method = "lm"

Make smoother species-specific and linear.

plot of chunk unnamed-chunk-21

Step 2 - add layers

ggplot(iris, aes(x = Sepal.Length, 
    y = Petal.Length, col = Species)) +
  geom_point() +
  geom_smooth(method = "lm")
Move species-specific colour aesthetics to ggplot() (so it becomes the default setting for all added layers).

plot of chunk unnamed-chunk-23

Step 3 - add scales: scale_colour_brewer()

ggplot(iris, aes(x = Sepal.Length, 
    y = Petal.Length, col = Species)) +
  geom_point() +
  geom_smooth(method = "lm") +
  scale_colour_brewer() 

plot of chunk unnamed-chunk-25

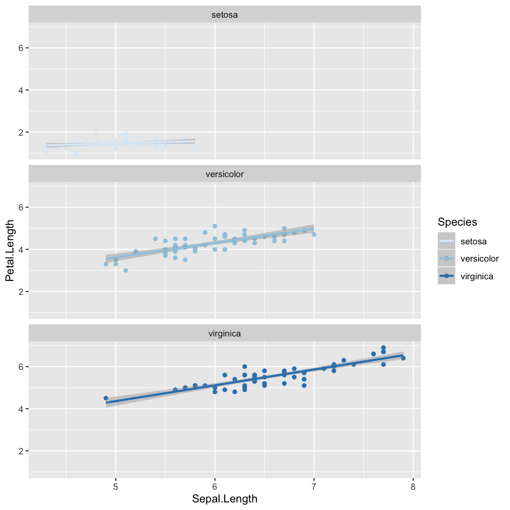
Step 4 - add facets: facet_wrap()

ggplot(iris, aes(x = Sepal.Length, 
    y = Petal.Length, col = Species)) +
  geom_point() +
  geom_smooth(method = "lm") +
  scale_colour_brewer() +
  facet_wrap(~Species, nrow=3)

facet_wrap(~Species, nrow=3)

Divide the species-specific observations into different panels.

plot of chunk unnamed-chunk-27

Step 5 - modify coordinate system: coord_polar()

ggplot(iris, aes(x = Sepal.Length, 
    y = Petal.Length, col = Species)) +
  geom_point() +
  geom_smooth(method = "lm") +
  scale_colour_brewer() +
  facet_wrap(~Species, nrow=3) +
  coord_polar()

plot of chunk unnamed-chunk-29

Step 6 - change the look of non-data elements: theme_dark()

ggplot(iris, aes(x = Sepal.Length, 
    y = Petal.Length, col = Species)) +
  geom_point() +
  geom_smooth(method = "lm") +
  scale_colour_brewer() +
  facet_wrap(~Species, nrow=3) +
  coord_polar() +
  theme_dark()

plot of chunk unnamed-chunk-31

Step 7 - save the plot: ggsave()

ggplot(iris, aes(x = Sepal.Length, 
    y = Petal.Length, col = Species)) +
  geom_point() +
  geom_smooth(method = "lm") +
  scale_colour_brewer() +
  facet_wrap(~Species, nrow=3) +
  coord_polar()

ggsave("Iris_length_relationships.pdf", width = 4, height = 4)

The last plot displayed is saved (as default).

ggplot - geom_functions

When to use which function?

That depends on

  • what you want to display (your question)
  • and the type of data

Common plots are ...

Visualize frequency distributions

BARPLOTS -
are used for categorical or discrete variables. Bars do not touch each other; there are no ‘in-between’ values.

plot of chunk unnamed-chunk-33

HISTOGRAMS and DENSITY PLOTS (can be combined) are used for continuous variables and are often used to check whether variables are normally distributed. Bars touch each other in histograms.

plot of chunk unnamed-chunk-34

Compare groups

BOXPLOTS - are used to compare two or more groups in terms of their distributional center and spread. They transport a lot of information and should be computed in every data exploration! You can check,

  • differences in average y values between groups and whether these might be significant,
  • if group variances differ,
  • whether individual groups are normally distributed
  • identify outlier

Click here to read how

plot of chunk unnamed-chunk-36

Show relationship between 2 variables

SCATTERPLOTS -
are the most basic plots for continuous variables. They are also the least interpreting plots as they show every observation in the 2-dimensional space. plot of chunk unnamed-chunk-37

Another useful feature is that they can be combined with other plotting elements: defining aesthetics for a 3rd variable (e.g. colours of points) or adding regression or smoothing lines to help visualise the relationship: plot of chunk unnamed-chunk-38

Elements taken from older version of ggplot cheat sheet

Some examples with the ICES hydro data

Daten laden

load("data/hydro.R")
# Umwandlung Monat zu kategorischer Variable: Faktor
hydro$fmonth <- as.factor(hydro$month)

Scatterplot: Räumliche Verteilung der Stationen, nach Monat farblich gekennzeichnet

Note:

Um eine diskrete Skala zu erhalten wird wieder fmonth verwendet.
hydro_sub <- hydro %>%
 select(fmonth,station,lat,long) %>%
 distinct()

ggplot(...

plot of chunk unnamed-chunk-41

Lösung

hydro_sub <- hydro %>%
 select(fmonth,station,lat,long) %>%
 distinct()

ggplot(hydro_sub, aes(x = long,  
    y = lat, col = fmonth)) +
  geom_point() 

plot of chunk unnamed-chunk-43

Scatterplot: Korrelation zwischen Temperatur und Salzgehalt

Lösung

Histogram: Verteilung (aller) Temperaturwerte

Note:

Wir können auch den pipe Operator beim Plotten verwenden und die Grafik abspeichern um sie uns anschl. anzuschauen!
p <- hydro %>% ggplot(...
p

plot of chunk unnamed-chunk-47

Lösung

Note:

Wir können auch den pipe Operator beim Plotten verwenden und die Grafik abspeichern um sie uns anschl. anzuschauen!
p <- hydro %>% ggplot(aes(x = temp)) +
  geom_histogram()
p

plot of chunk unnamed-chunk-49

Barplot: Frequenz der monatlichen Probenahmen

Wichtig ist beim Barplot, dass die X-Variable kategorisch ist (fmonth):

hydro_sub <- hydro %>%
 select(fmonth, station, date_time) %>%
 distinct()
ggplot(...

plot of chunk unnamed-chunk-51

Lösung

Wichtig ist beim Barplot, dass die X-Variable kategorisch ist (fmonth):

hydro_sub <- hydro %>%
 select(fmonth, station, date_time) %>%
 distinct()
ggplot(hydro_sub,aes(x=fmonth)) +
  geom_bar()

plot of chunk unnamed-chunk-53

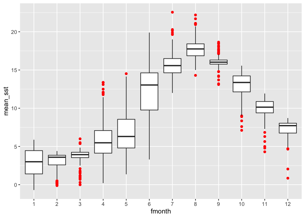
Boxplot: vergleich der monatlichen Oberflächentemperatur

hydro %>% filter(pres < 5) %>%
  group_by(fmonth, station, date_time, cruise) %>%
  summarise(mean_sst = mean(temp)) %>% ungroup() %>%
ggplot(...)

plot of chunk unnamed-chunk-55

Lösung

hydro %>% filter(pres < 5) %>%
  group_by(fmonth, station, date_time, cruise) %>%
  summarise(mean_sst = mean(temp)) %>% ungroup() %>%
ggplot(aes(x = fmonth, y = mean_sst)) +
  geom_boxplot(outlier.colour = "red")

plot of chunk unnamed-chunk-57

How do you feel now.....?

Totally confused?

plot of chunk unnamed-chunk-58

Try to reproduce some of the plots in this presentation and the quiz and read chapter 3 on data visualization in 'R for Data Science' .

Totally bored?

Totally content?

Bei weiteren Fragen kontaktieren Sie mich unter:
saskia.otto@uni-hamburg.de

http://www.researchgate.net/profile/Saskia_Otto
http://www.github.com/saskiaotto

Creative Commons License
Diese Arbeit ist lizensiert unter der Creative Commons Attribution-ShareAlike 4.0 International License
mit Ausnahme externer Materialien gekennzeichnet durch die source: Angabe.
Bild auf Titel- und Abschlussfolie: Frühjahrsblüte in der Nordsee
USGS/NASA Landsat: Spring Color in the North Sea, Landsat 8 - OLI, May 7, 2018
(unter CC0 lizenz)